What is the de Morton Mobility Index (Demmi)?

DEMMI: Nøjagtig Måling af Ældres Mobilitet

16/06/2022

Rating: 4.71 (3499 votes)

Mobilitet er en grundlæggende komponent i et uafhængigt og sundt liv, især for ældre voksne. Evnen til at bevæge sig frit, ændre kropsposition og udføre daglige aktiviteter er ikke blot afgørende for fysisk sundhed, men også for mental velvære og social deltagelse. Ifølge Verdenssundhedsorganisationens (WHO) Internationale Klassifikation af Funktionsevne (ICF) er 'mobilitet' en af ni domæner inden for 'aktivitet og deltagelse', defineret som evnen til at flytte sig ved at ændre kropsposition eller placering, overføre sig fra et sted til et andet, bære, flytte eller manipulere genstande, gå, løbe eller klatre, og bruge forskellige transportformer.

Which age groups have a lower Demmi mobility mean score?
Older age categories had significantly lower DEMMI mobility mean scores (P < 0.05), as did individuals who walked with a mobility aid or lived in semi-independent living (assisted living or retirement village), whereas DEMMI scores did not differ by sex (P = 0.49) or reported falls history (P = 0.21).[/caption]

Desværre kan tab af mobilitet føre til et fald i uafhængighed, øget afhængighed af plejepersonale, højere risiko for skader og hyppigere hospitalsindlæggelser. Derfor er en nøjagtig vurdering af mobilitet en essentiel del af enhver sundhedsvurdering for ældre. Men indtil for nylig har kliniske værktøjer til måling af mobilitet ofte været utilstrækkelige, især når det gælder om at dække det brede spektrum af funktionelle evner hos ældre patienter – fra dem, der er sengeliggende, til dem, der er fuldt uafhængige.

Det er her, De Morton Mobilitetsindekset (DEMMI) kommer ind i billedet. DEMMI er et avanceret, praktisk og pålideligt instrument, der er udviklet til at måle og overvåge mobilitet hos indlagte ældre akutte medicinske patienter. Det er et unidimensionelt instrument, der måler mobilitet på tværs af hele spektret, og det er designet til at give præcise, intervalbaserede data, som er afgørende for både klinisk praksis og forskning.

Indholdsfortegnelse

Hvad er De Morton Mobilitetsindekset (DEMMI)?

DEMMI er et 15-punkts unidimensionelt mål for mobilitet. Det er primært designet til klinikere og forskere for at give en gyldig metode på intervalniveau til nøjagtig måling og overvågning af mobilitetsniveauer hos ældre akutte medicinske patienter. Skalaen giver en score på en 100-punkts Rasch-konverteret intervalskala, hvor en højere score indikerer større mobilitet og uafhængighed.

Instrumentet er resultatet af omfattende forskning og validering. Det måler en række mobilitetsopgaver, der spænder fra grundlæggende sengeliggende aktiviteter til komplekse balance- og gangopgaver. Formålet er at fange de subtile ændringer i en patients mobilitetsstatus, som traditionelle instrumenter ofte overser. DEMMI er et hurtigt og simpelt værktøj at administrere, kræver minimalt udstyr – typisk kun en seng/briks, en lænestol og en pen – og kan nemt udføres ved patientens sengekant.

Behovet for et Bedre Mobilitetsværktøj: Hvorfor DEMMI Er Nødvendig

Før udviklingen af DEMMI var de eksisterende instrumenter til måling af mobilitet ofte utilstrækkelige til nøjagtigt at vurdere ældre mennesker på tværs af et bredt spektrum af evner. To almindelige instrumenter, der bruges i hospitalsmiljøet, er Timed Up and Go (TUG) og Barthel Index (BI).

  • Timed Up and Go (TUG): Dette test havde en gulveffekt, hvilket betyder, at omkring en fjerdedel af patienterne var for svage til at gennemføre testen, hvilket gjorde det umuligt at måle deres lave mobilitetsniveauer.
  • Barthel Index (BI): BI havde en loftseffekt, hvor omkring en fjerdedel af patienterne scorede inden for fejlmarginen af den højeste score. Dette betød, at instrumentet ikke kunne fange forbedringer hos patienter, der allerede var relativt mobile.

Andre instrumenter som Elderly Mobility Scale (EMS), Hierarchical Assessment of Balance and Mobility (HABAM) og Physical Performance Mobility Examination (PPME) blev også identificeret som potentielt egnede, men klinimetrisk evaluering viste betydelige begrænsninger med hver af disse. Specifikt for HABAM blev der også identificeret en loftseffekt (25% af personerne scorede den højest mulige score) i en ældre akut medicinsk population. Disse mangler understregede behovet for et nyt, mere omfattende og præcist mobilitetsinstrument.

Uden et nøjagtigt mobilitetsinstrument kan sundhedspersonale ikke nøjagtigt overvåge forringelse i mobilitet, og passende strategier til at opretholde fysisk sundhed kan ikke iværksættes. Det har været argumenteret, at utilstrækkelige mål for fysisk evne på tværs af det spektrum af evner, der findes hos ældre, udgør det mest presserende problem inden for træningsgerontologi.

Udviklingen og Valideringen af DEMMI: Fra Idé til Valideret Værktøj

Udviklingen af DEMMI var en omhyggelig proces, der startede med generering af elementer fra eksisterende mobilitetsskalaer, fokusgrupper med akademikere og klinikere (n=24) og patientinterviews (n=12). Formålet var at finde elementer, der kunne vurdere ældre mennesker på tværs af hele mobilitetsspektret, fra sengeliggende til fuldt aktive.

De indledende 51 elementer blev pilottestet på ældre akutte medicinske indlagte patienter. Gennem Rasch-analyse, en statistisk metode til at konstruere intervalmål fra ordinære data, blev elementerne raffineret til et sæt på 15 elementer. Denne analyse sikrer, at instrumentet er unidimensionelt (måler kun én konstruktion, nemlig mobilitet) og at elementerne rangeres fra lettest til sværest.

DEMMI blev valideret på en uafhængig stikprøve af ældre akutte medicinske indlagte patienter, og dets klinimetriske egenskaber blev bekræftet. Pålidelighed (Minimal Detectable Change ved 90% konfidens, MDC90) og den Minimalt Klinisk Vigtige Forskel (MCID) var konsistente på tværs af uafhængige stikprøver. MDC90 var 9 point, og MCID var 10 point på den 100-punkts Rasch-konverterede intervalskala. Dette betyder, at en patient skal forbedre eller forværre sig med 10 point eller mere, for at en kliniker kan være 90% sikker på, at en sand ændring i patientens tilstand er sket.

[caption id="attachment_159131" align="aligncenter" width="685"]What is the de Morton Mobility Index (Demmi)? The final item set required minimal equipment and was quick and simple to administer. The de Morton Mobility Index (DEMMI) was validated on an independent sample of older acute medical inpatients and its clinimetric properties confirmed. The DEMMI is a 15 item unidimensional measure of mobility.

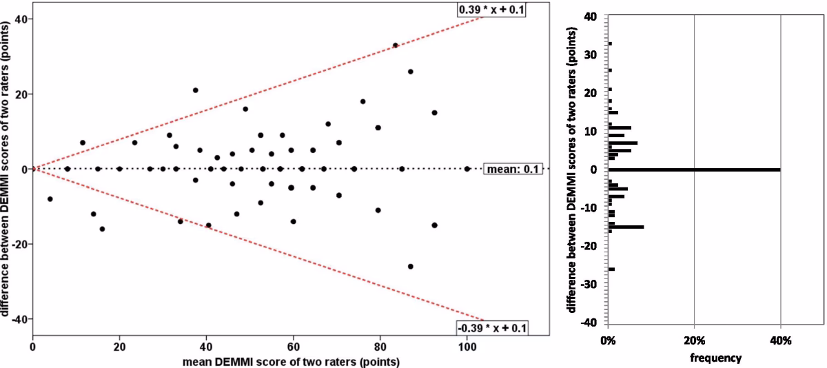
Inter-rater pålideligheden, målt ved Pearson's r, var høj (0.94), hvilket indikerer, at forskellige vurderere vil opnå lignende resultater. Instrumentet er designet til at være sikkert, hurtigt og nemt at administrere ved patientens sengekant med minimalt udstyr, hvilket gør det praktisk i et travlt hospitalsmiljø.

DEMMI's Unikke Fordele: Hvad Gør Det Overlegent?

DEMMI overvinder de væsentlige begrænsninger, der er identificeret i tidligere mobilitetsmål som BI og HABAM (loftseffekter) samt TUG (gulveffekt) i en ældre akut medicinsk patientpopulation. Dette betyder, at DEMMI kan måle forbedring og forringelse i mobilitet på tværs af hele spektret af mobilitetsniveauer, der findes hos ældre patienter. Det dækker et bredt spektrum af mobilitetsniveauer, fra sengeliggende til fuldt uafhængige aktiviteter.

En af de største fordele ved DEMMI er, at den giver intervaldata. I modsætning til ordinære skalaer, hvor forskellen mellem to punkter ikke nødvendigvis er den samme som forskellen mellem to andre punkter, giver intervaldata mulighed for mere robuste statistiske analyser. En stigning på f.eks. 20 point på DEMMI-skalaen repræsenterer den samme mængde forbedring i mobilitet, uanset patientens oprindelige mobilitetsniveau. Dette er afgørende for forskere, der ønsker at fortolke parametriske statistiske tests af DEMMI-data.

Derudover er DEMMI's elementhierarki konsistent på tværs af uafhængige stikprøver. Dette giver et stærkt bevis for, at for heterogene ældre patientpopulationer følger fysisk genopretning fra sygdom en fælles vej. Da ældre patienter forventes at udvikle sig på tværs af DEMMI-mobilitetskontinuummet på en forudsigelig måde, giver DEMMI-hierarkiet klinikere en systematisk metode til at identificere patienters evner og begrænsninger. Dette letter en omfattende vurdering af mobilitet, og vurderingsresultater kan bruges til at definere specifikke mål for terapeutisk intervention.

Konstruktvaliditet og Normative Data: DEMMI i Forskellige Populationer

DEMMI's konstruktvaliditet er blevet bekræftet, ikke kun i akutte medicinske populationer, men også i sunde, hjemmeboende ældre voksne. Studier har vist, at den minimale klinisk vigtige forskel (MCID) for DEMMI er 7 point for sunde, hjemmeboende ældre voksne, hvilket er lavere end de 10 point, der er rapporteret for den akutte medicinske population. Dette indikerer, at mindre ændringer i mobilitet er klinisk relevante i en sundere population.

Aldersgrupper og Mobilitet: Hvem scorer lavest på DEMMI?

Forskning har også undersøgt, hvordan DEMMI-scorer varierer på tværs af forskellige demografiske grupper. En vigtig observation er, at ældre alderskategorier generelt har signifikant lavere gennemsnitlige DEMMI-mobilitetsscore (P < 0.05). Dette er forventeligt, da mobilitet ofte aftager med alderen.

Derudover viser data, at individer, der bruger et mobilitetshjælpemiddel (f.eks. stok, rollator) eller bor i semi-uafhængige boliger (såsom plejeboliger eller seniorfællesskaber), også har signifikant lavere DEMMI-scorer. Interessant nok viser studier af sunde hjemmeboende voksne ingen signifikant forskel i DEMMI-scorer baseret på køn (P = 0.49) eller rapporteret faldhistorik (P = 0.21).

Her er en oversigt over gennemsnitlige DEMMI-scorer for forskellige aldersgrupper og livssituationer, baseret på normative data:

AlderskategoriSamlet gennemsnit (95% CI)Uafhængigt boende (Gennemsnit)Semi-uafhængigt boende (Gennemsnit)
60–6986.4 (83.2, 89.6)86.287.4
70–7981.4 (78.9, 83.9)84.377.2
80–8975.3 (71.8, 78.9)77.971.9
90+6262
Total81.0 (79.3, 82.8)83.576.5

Disse normative data giver vital reference for at lette DEMMI's brug på tværs af mobilitetsspektret i kliniske, forskningsmæssige og politiske sammenhænge. For eksempel kan en kliniker sammenligne en patients score med alders- og kønsmatchede jævnaldrende for at identificere potentiale for forbedring eller behov for intervention.

Anvendelsesområder for DEMMI: Fra Klinik til Samfund

De potentielle anvendelsesområder for DEMMI er brede, på trods af at det oprindeligt blev udviklet til akut indlagte ældre patienter. Takket være dets inklusive skalabredde har DEMMI potentiale til at blive brugt i mange kliniske omgivelser og dermed forbedre kontinuiteten i plejen af ældre voksne på tværs af udbydere, kliniske omgivelser og i samfundet.

  • Klinisk praksis

    I klinikken kan DEMMI bruges til indledende vurdering af en patients mobilitetsstatus ved indlæggelse eller under rehabilitering. Det giver et objektivt mål, der kan spore forbedring eller forringelse over tid. Dette er afgørende for at guide terapeutisk intervention, sætte realistiske mål for patienter og planlægge udskrivning. Hvis en patient f.eks. har en score på 38 ved indlæggelse, forventes det, at vedkommende kan udføre sengeliggende mobilitetsopgaver, kræver minimal assistance til forflytninger ind og ud af stolen, har tilstrækkelig balance til at sidde og stå uden støtte og kan gå korte afstande med assistance. Målsætningen for genoptræning vil da omfatte uafhængighed i seng- og stol-forflytninger, øgning af gangafstand og forbedring af stående balance.

  • Forskning

    For forskere giver DEMMI pålidelige intervaldata, hvilket muliggør mere sofistikerede statistiske analyser. Dette er afgørende for at evaluere effektiviteten af interventioner, forstå mobilitetstrends i populationer og udvikle nye behandlingsstrategier.

    Does the de Morton Mobility Index have construct validity?
    Construct validity of the de Morton Mobility Index (n = 153) including the hypotheses on construct validity and the constructs of the comparison measurement instruments Mild to Moderate Cognitive Impairment: (Braun et al., 2018; n = 153, mean age: 82 ± 7, geriatric hospital patients)
  • Politik og samfundsplanlægning

    Normative data fra DEMMI kan informere folkesundhedspolitikken og byplanlægning. Ved at forstå de gennemsnitlige mobilitetsniveauer i forskellige befolkningsgrupper kan politikere og byplanlæggere træffe informerede beslutninger om tilgængelighed, programudvikling og ressourceallokering for at støtte ældre voksnes mobilitet og uafhængighed i samfundet.

Begrænsninger og Fremtidige Retninger

Selvom DEMMI er et robust instrument, er der, som med enhver forskning, visse begrænsninger. For det første kan der være en vis sampling bias i de rapporterede data. Kravet om at indhente skriftligt og informeret samtykke kan have resulteret i inklusion af en sundere og mindre kognitivt svækket patientgruppe sammenlignet med en typisk ældre akut medicinsk population. For det andet blev dataindsamlingen for både udviklings- og valideringsstudierne udført på samme hospital. Dog har Rasch-analysen vist, at disse skævheder ikke har påvirket instrumentets evne til at passe til Rasch-modellen.

En anden observation er en vis loftseffekt i den sunde hjemmeboende population, hvor 17.5% af deltagerne scorede den maksimale score på 100. Selvom dette kan vække bekymring, er det inden for acceptable grænser for kliniske instrumenter, især da DEMMI primært er designet til at dokumentere forbedringer blandt dem med en række mobilitetsniveauer, snarere end at skelne mellem toppen af dem med fremragende sundhed. Faktisk blev et af de sværeste elementer (stående på ét ben med lukkede øjne) fjernet under udviklingen, da ingen patienter i den akutte population kunne gennemføre det.

Fremtidig forskning er i gang for at validere DEMMI på tværs af flere kliniske omgivelser og i samfundet, samt at oversætte DEMMI til andre sprog. Dette vil yderligere udvide dets anvendelighed og sikre, at det kan bruges til at forbedre plejen for ældre voksne globalt.

Ofte Stillede Spørgsmål (FAQ)

Hvad er formålet med DEMMI?

Formålet med DEMMI er at måle og overvåge mobilitetsniveauer hos ældre akutte medicinske patienter nøjagtigt. Det hjælper klinikere med at identificere ændringer i patientens tilstand og guide behandlingsforløb.

Hvilke patienter er DEMMI mest relevant for?

DEMMI er specifikt udviklet og valideret for ældre akutte medicinske patienter, men dets brede skalabredde gør det potentielt anvendeligt på tværs af mange kliniske omgivelser og i samfundet for ældre voksne generelt.

Hvor lang tid tager det at administrere DEMMI?

DEMMI er designet til at være hurtigt og nemt at administrere, typisk kun få minutter, hvilket gør det praktisk i travle kliniske miljøer.

Hvad betyder en "klinisk vigtig forskel" (MCID) på DEMMI?

En klinisk vigtig forskel (MCID) på DEMMI er den mindste ændring i score, som en patient eller kliniker ville betragte som meningsfuld. For akutte patienter er MCID typisk 10 point, mens den for sunde, hjemmeboende ældre voksne er 7 point.

Kan DEMMI bruges uden for hospitalet?

Ja, selvom DEMMI blev udviklet til hospitalsmiljøet, er dets potentielle anvendelsesområder brede. Forskning er i gang for at validere det yderligere i andre kliniske og samfundsmæssige omgivelser, hvilket vil forbedre kontinuiteten i plejen.

Er DEMMI bedre end andre mobilitetsmål?

DEMMI overvinder de væsentlige begrænsninger som gulveffekt og loftseffekt, der er identificeret i mange ældre mobilitetsmål (f.eks. TUG og Barthel Index). Det giver intervaldata, hvilket er en fordel for statistisk analyse, og dækker et bredere spektrum af mobilitetsniveauer.

Hvis du vil læse andre artikler, der ligner DEMMI: Nøjagtig Måling af Ældres Mobilitet, kan du besøge kategorien Teknologi.

Go up